Merge pull requests and resolve merge conflicts
When changes have been reviewed and approved, you can merge the pull request. If there are conflicts between the contents of a topic stream and its parent, you must resolve them before you can merge the pull request.
Merge pull requests
When you merge a pull request, the contents of the topic stream are merged into the parent stream without using a work area.
Guideline and behaviors:
-
If PulseUno has been configured to automatically merge pull requests, when the review moves to the Approved state, the pull request is automatically merged into its parent stream. Note that automatic merges can fail.
-
The request related to the topic stream is used to merge the changes.
-
If automatic merges are not enabled, you can merge a pull request manually. For details, see the following topics:
Web client: Manually merge topic stream changes Desktop client: Manually merge topic stream changes -
Users who can merge pull requests are defined by the product’s merge policy in PulseUno, for example, Authors and Reviewers. For details on how to set merge policies, see PulseUno.
This is not the same as having the privilege to merge, which is controlled by OpenText Dimensions CM privileges.
-
If you do not want the changes in a topic stream merged into the parent, you can close the pull request without merging.
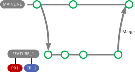
Example:
In this example, the topic stream Feature_1 is created from the parent stream Mainline to address request CR_1. This automatically creates pull request PR1 to gather and review the changes made in Feature_1. Changes are delivered into Feature_1 and the pull request is assigned to reviewers. When all reviewers have reviewed and voted to approve the changes, the pull request is automatically merged into its parent stream, Mainline, creating a new changeset in that stream. CR_1 now contains the results of the merge.
Resolve merge conflicts
Conflicts are resolved and merged into a topic stream using a work area.
Example:
In this example, there are conflicts between the content of topic stream Feature_1 and Mainline:
-
The parent stream, Mainline, is merged into the work area associated with the topic stream, Feature_1.
-
The conflicts are resolved during the merge operation.
-
The merge results are delivered to the topic stream from its work area.
-
Pull request PR1 is merged, which automatically applies all the topic stream changes to the parent stream.

